Multiple Representations of Biological Systems

cartoon of an enzyme reaction
system diagram of an enzyme reaction
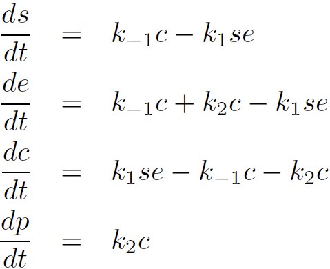
differential equations for an enzyme reaction agent-based simulation of an enzme reaction